00:01 Решебник дифференциальные уравнения филиппов | ||
Решебник Задач По Дифференциальным Уравнениям Филиппов 2000 Года
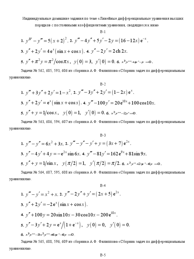
![]() Изоклины. Составление дифференциального уравнения семейства кривых (1-50): 2. И, кстати, по ссылке далее можно скачать большинство решений задач из Филиппова. Решение Дифференциальных Уравнений - Филиппов 1060Ответы к заданиям для самостоятельного решения. Филиппов, А.Ф. Сборник задач по дифференциальным уравнениям [Текст] / А.Ф. Решение Дифференциальных Уравнений - Филиппов 247![]() Нужен решебник на данный сборник задач. А. Ф. Филиппов Сборник задач по дифференциальным уравнениям isbn 5-93972-008-0. НИЦ "Регулярная и. Скачать Романко В.К., Агаханов Н.Х., Власов В.В., Коваленко Л.И.![]() РФ → Математика → Решебник Филиппова по дифференциальным уравнениям. В. Сборник задач можно бесплатно скачать: Filippov.djvu - 920 Кб. Решения. Решение Дифференциальных Уравнений - Филиппов 118Скачать сейчас. Сохранить. 2( 2 x +1) 2 y ' '−( 2 x +1) y '+2 y =0. Задачи № 566, 689, 599, 606 из сборника А.Ф. Филиппова «Сборник задач по дифференциальным Скачать Филиппов А.Ф. Сборник Задач По Дифференциальным Уравнениям.![]() Аннотация ; § 27. Уравнения с частными производными первого порядка ; Ответы ; Ответы к добавлению ; Таблицы показательной функции и логарифмов. Скачать Филиппов А.Ф. Введение В Теорию Дифференциальных Уравнений.![]() Чем отличаются обыкновенные дифференциальные уравнения от дифференциальных уравнений в частных производных. Филиппов А. Ф. Сборник задач по дифференциальным. Решение Дифференциальных Уравнений - Филиппов 313![]() г. перс. год. Скачать бесплатно pdf, djvu и купить бумажную и электронную книгу по лучшей цене со скидкой: Сборник задач по дифференциальным уравнениям. Скачать Филиппов А.Ф. Сборник Задач По Дифференциальным Уравнениям.![]() Изоклины. Составление ДУ семейства кривых. Изогональные траектории. Уравнения с разделяющимися переменными. Геометрические и физические задачи. Однородные. Решение Дифференциальных Уравнений - Филиппов 119Ответы к добавлению. 171. Таблицы показательной функции и логарифмов. 175. Page 6. Дифференциальные уравнения и вариаци- онное исчисление. [5] Б.П. Демидович. Решение Дифференциальных Уравнений - Филиппов 421г. перс. год. дифференциальные уравнения высшего порядка, решаемые методом понижения порядка, линейные дифференциальные уравнения. Филиппов. Сборник задач. Решение Дифференциальных Уравнений - Филиппов 534Ответы: 2.1. ) ( ) ln(1. 1; 1. S x. x x. =−. −. ∈ −. ; 2.2. 2. 2. 2. (2. Филиппов. – М.: Наука, 1979. 10. Фихтенгольц, Г.М. Курс. Решение Дифференциальных Уравнений - Филиппов 167г. перс. год. Эльсголыь Дифференциальные уравнения и вариационное исчисление. [51. Его можно просто купить или даже скачать бесплатно на СтудИзбе. Решение Дифференциальных Уравнений - Филиппов 121г. перс. год. Сборник задач можно бесплатно скачать: Filippov.djvu - 920 Кб. § 1. Изоклины. Составление дифференциального уравнения семейства кривых (задачи 1. Скачать Филиппов А.Ф. Сборник Задач По Дифференциальным Уравнениям.![]() Задачи и упражнения по математическому анализу для ВТУЗов под редакцией Филиппов А.Ф. · Ответы с подробными решениями по номерам: · § 1. Изоклины. · § 2. Уравнения. Филиппов А. Ф. Введение В Теорию Дифференциальных Уравнений![]() Скачать учебники, справочники, учебные пособия, задачники, решебники и другие книги по математике для студентов. Решение Дифференциальных Уравнений - Филиппов 803![]() Решебник Филиппов А.Ф. по дифференциальным уравнениям. В данном разделе. Сборник задач можно бесплатно скачать: Filippov.djvu - 920 Кб. Решения. Филиппов А.Ф. / Сборник Задач По Дифференциальным Уравнениям.![]() Введение в теорию дифференциальных уравнений (2007) (Филиппов А.Ф. Его можно просто купить или даже скачать бесплатно на СтудИзбе. Найдите нужный учебный. Линейные Дифференциальные Уравнения С Постоянными Коэффициентами | PDF(1964, 244с.) Введение в теорию дифференциальных уравнений. Филиппов А.Ф. (2007, 240с.) Векторный анализ. Задачи и примеры с подробными решениями. Краснов. Линейные Дифференциальные Уравнения С Постоянными Коэффициентами | PDFг. перс. год. Скачать Решебник к учебнику а.ф. филиппов сборник задач по. Филиппов. Дифференциальные уравнения с разрывной правой частью. — М. | ||
|
| ||
| Всего комментариев: 0 | |









